つねぴーblog@内科専門医

アウトプットが趣味です。医学以外の事も投稿するやもしれません。名前は紆余曲折を経てつねぴーblogに戻りました

2018-06-30から1日間の記事一覧

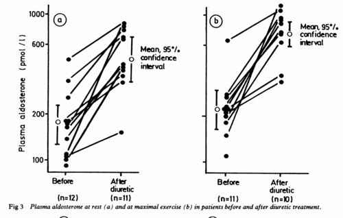
(文献)利尿剤投与で血漿レニン活性、アルドステロン濃度が上昇する

(一言で)心不全患者に利尿剤を投与すると、心不全徴候は改善するが、血中のレニン活性やアルドステロン濃度は上昇している。このことは長期的に見ると心臓にとっては良いことではない。しかしACE阻害薬を使えばRASSの亢進を抑えられるので有用かもしれない…